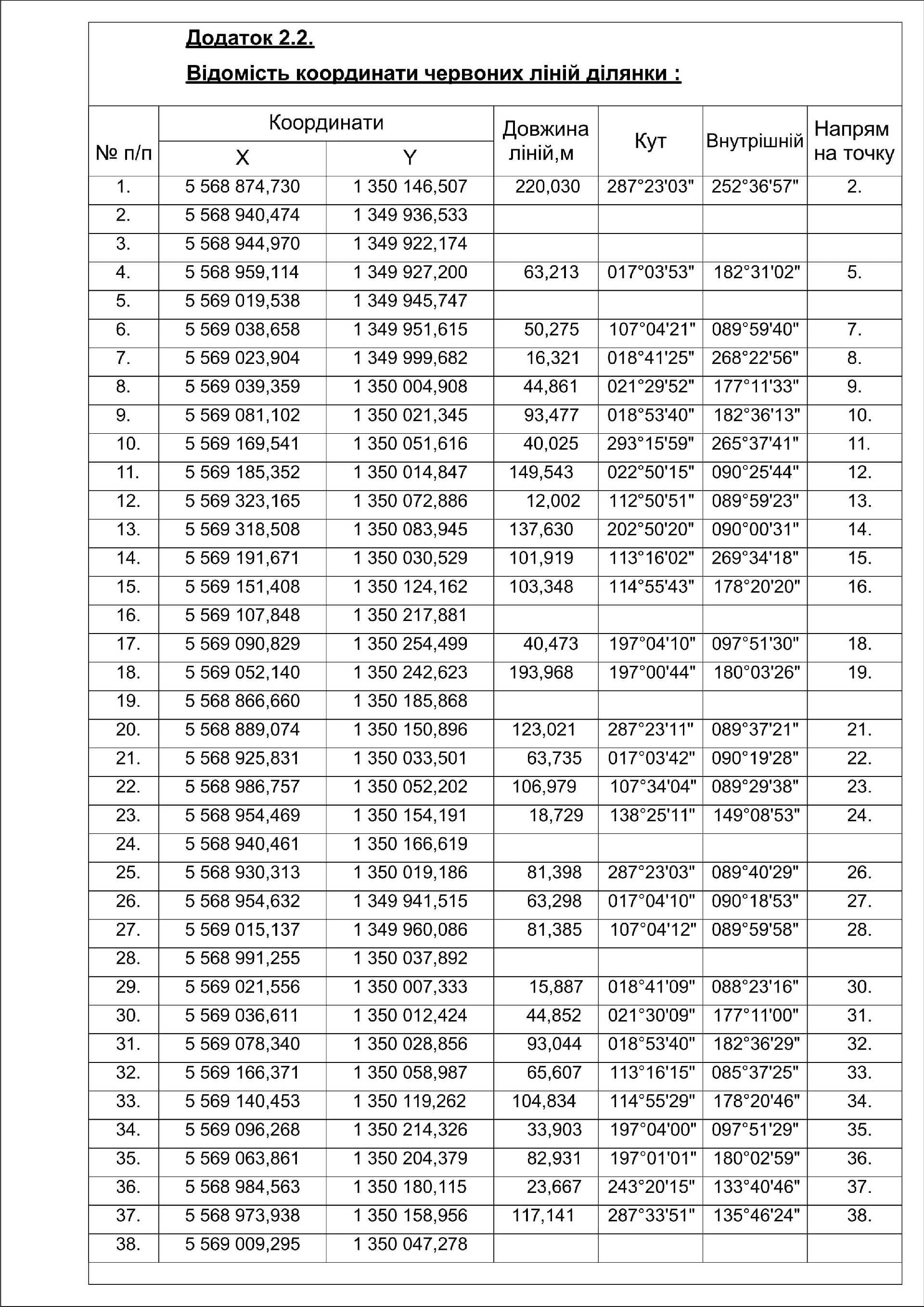
Детальний план території в районі вулиці Гагаріна в смт. Гірник з метою забезпечення земельними ділянками під індивідуальне житлове будівництво учасників антитерористичної операції.
Поділитись
ДПТ в районі вулиці Гагаріна в смт. Гірник з метою забезпечення земельними ділянками під індивідуальне житлове будівництво учасників антитерористичної операції затверджено рішення Гірницької селищної ради від 21.06.2018 р. № 168
Файли:











